Study and Operation of the Process Trainer Setup 
1. The PID controller is a _______
2. The transfer function

in the feedback path, modifies the proportional controller to a ____

in the feedback path, modifies the proportional controller to a ____
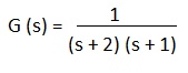
3. A PID controller is employed to stably control a plant with transfer function

Now integral gain and proportional gain are increased by factor 3 and factor 2 respectively, derivative gain remains unchanged. Given that the closed loop system remains stable with new gains, the steady state error in tracking a ramp reference signal ______

Now integral gain and proportional gain are increased by factor 3 and factor 2 respectively, derivative gain remains unchanged. Given that the closed loop system remains stable with new gains, the steady state error in tracking a ramp reference signal ______
4. The electric switch to control any electrical equipment will act as,
5. What is the relationship between the steady-state error, gain and the tendency of oscillations when the controller is supposed to be under the proportional action ?
6. Find the values of kp, ki, kd for PID controller whose characteristics equation has real roots at -10, damping ratio ζ = 0.8 and natural frequency ωn = 2 rad/s.
7. The on-off control is also called as ________.
8. What is the value of gain if the proportional band setting is 195 %
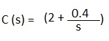
9. A PI controller is expressed as

The proportional band for the controller is _____

The proportional band for the controller is _____
10. If the flow of air through the compressor is perpendicular to its axis, then it is a _____